
2019-12-26 click: 6891
摘要:擺線齒輪是高精度減速器中關鍵零部件之一,擺線齒輪測量也是行業研究的重點[1]。本文以極坐標原理的擺線齒輪測量儀為基礎,研究了擺線齒輪測量的方法。通過擺線測量儀的高精度、高剛性測頭對擺線齒輪整周快速掃描、等回轉間距數據采集,采用“最小二乘”對稱中線數據處理方式確定所測擺線齒輪角向位置,進行測量數據數據處理,通過與理論輪廓、設計齒廓進行對比處理誤差,進而討論了涉及擺線齒輪的各項誤差項目的定義及表達方式,比較全面的論述了擺線齒輪測量原理及遇到的關鍵問題,以精度項目指標表達出擺線齒輪的精度情況。
關鍵詞:擺線齒輪;擺線齒輪測量儀;誤差項目定義
0.引言
擺線齒輪作為擺線減速器關鍵零部件,其制造精度直接影響到減速機的傳動質量[3]。特別是新興的機器人關節RV減速機更是目前齒輪行業熱門研究對象,對擺線齒輪的制造精度具有更高的要求。擺線齒輪傳動與圓柱齒輪不同,為保證擺線減速機或RV減速機的傳動精度,提高傳動效率,減小背隙,擺線齒輪本身的修形非常重要,所以在制造過程中,控制修形量是重要的工作。而控制修形首先要精確對擺線的齒廓進行精確測量。擺線齒輪測量是目前行業面臨的一個新的技術問題。由于擺線齒輪相應的精度標準相對落后,市場上也未見針對擺線齒輪測量的專用量儀,其誤差項目的表達方式也未得到行業統一和認可,國外在三坐標測量機、齒輪量儀上測量擺線齒輪,只是把擺線齒輪作為一種通用輪廓進行測量,并不能全面的反映擺線齒輪的精度本質,對評價擺線齒輪精度并無實際意義。
由于擺線齒輪齒形屬于復雜曲面,設計“修形量”屬于企業的核心“秘密”,加工方法從展成磨削到成型磨削,影響擺線齒輪加工精度的因素很多,加工誤差不僅要考慮砂輪、機床等帶來的制造誤差,更應該對應設計修形來評定加工誤差。為解決擺線齒輪測量問題,哈爾濱精達測量儀器有限公司,在天津大學李真老師多年研究擺線齒輪測量的基礎上,并與河南科技大學合作,針對測量方法進行多年研究。本文提出一種基于極坐標方法的擺線齒輪測量方案,并重點討論相應誤差處理方法及各項誤差項目的定義表達方式。
1.擺線齒輪測量定位問題與測量儀器
擺線齒輪作為一個回轉體零件,所有傳動及測量理論均是基于回轉體轉動建立的傳動理論,本文提出以下問題,并提出相應觀點:
1.1擺線齒輪測量的定位問題
擺線齒輪在測量儀器上的定位問題,是解決擺線齒輪的制造基準,使用基準和測量基準之間關系首先遇到的問題。
對于擺線減速機及大部分液壓馬達中的擺線齒輪測量,由于擺線齒輪傳動是以其中心回轉進行工作,以其中心孔通過定位卡具或者配備芯軸在儀器上進行測量沒有問題。但對于“RV”擺線行星齒輪傳動中的擺線齒輪,其最大的不同是中心孔只是普通的加工基準或起到減重作用,擺線齒輪真正工作的是三個均勻分布的“曲軸孔”,我們認為,對于這三個重要的“曲軸孔”的形位誤差,直徑等的精密測量是擺線齒輪測量的必要前提條件,在三坐標等很多儀器上可以很方便的完成測量。但是,擺線齒輪測量的定位應結合擺線齒輪磨加工的定位卡具一起在儀器上進行測量如圖1所示,才能保證測量與加工基準的一致,對擺線齒輪研究“修形”才有意義,所以我們針對“RV”擺線齒輪的測量儀器設置了上下頂尖系統,而擺線減速機擺線齒輪的測量則通過磨削擺線齒輪所使用的精確定心的工裝進行定位如圖1所示,保障測量基準與加工基準的一致。
1.2專門設計的擺線齒輪測量專機是解決擺線齒輪測量的最好選擇
基于“極坐標”測量原理針對擺線齒輪進行誤差測量,雖然極坐標測量系統是相對簡單的一種測量系統,原理上只需要三個坐標軸即可完成測量,但是我們仍然推薦“擺線齒輪測量專機”的解決方案。
1)雖然帶轉臺的三坐標測量機、齒輪測量中心等測量儀器原理上完全滿足測量的需求,但是從技術上來說,三坐標測量機由于空間誤差較大,精度滿足不了測量要求,而齒輪測量中心由于其測頭系統主要是滿足圓柱齒輪測量問題的設計,而且圓柱齒輪(包括齒輪刀具等)的測量方向與極坐標不同,而采用極坐標在齒面掃描測量時,由于儀器測針本身剛性較差,在擺線齒輪極坐標測量過程中側向剛性變形是一個很大問題,測量結果會由于側向摩擦造成很大誤差,雖然我們齒輪測量中心也開發了“擺線齒輪”測量模塊,并且在貴州群建一臺齒輪測量中心上得到應用,但是不作為推薦方案。當然如果是僅測量擺線齒輪大致輪廓的情況除外;
2)專門設計的擺線齒輪測量專機,包括機械系統、數控系統和測量系統三部分。機械系統作為齒輪測量中心的主體,包括四個坐標軸:切向軸X、徑向軸Y和垂直軸三個方向的直線軸,以及旋轉主軸Φ。這里對極坐標測量系統仍增加一個額外的切向X坐標軸,并不參與測量過程,但是測量之前在儀器標定、建立精確的測頭測量線通過回轉軸心方面起到關鍵作用,是必不可少的設計。專機主要在測頭方面進行設計,保障測頭側向高剛性、測量方向靈活、穩定可靠。圖2、圖3分別是對應RV擺線齒輪和普通擺線減速機擺線齒輪而設計的兩種儀器。
3)采用精達“軟測頭輪廓曲線自動跟蹤控制技術”可有效的減少測頭正面測量力,減少摩擦,從而進一步減小測頭側向剛性帶來的測量誤差,保障測量系統高速、高效、精確的測量。
2.擺線齒輪極坐標測量方法
以極坐標原理測量擺線齒輪,測量時由主軸Φ旋轉帶動擺線齒輪旋轉,同時擺線齒輪推動測球在齒面上進行掃描測量,儀器同時實時記錄主軸光柵數值及測頭數值,對回轉Φ軸及徑向Y軸按照0.05度的等轉角間隔進行密集數據采集。
本測量方法不規定起始測量位置,在擺線任意轉角進行整周360度的數據采集。這樣簡化了測量過程,加快測量速度。對采集的數據,需要首先采取以“最小二乘”對稱中線數據處理方式確定首個擺線齒的中心位置。
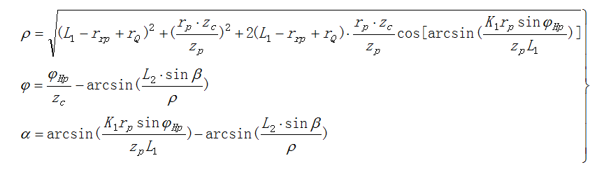
通過采集數據進行計算并與理論擺線、設計擺線的齒廓進行對比,得到擺線齒輪誤差。擺線齒輪測量的測頭軌跡曲線是理論短幅外擺線的等距曲線[4],它的形成原理如圖4所示。
假設極坐標系的極點為
點,基線為
軸,則
點的極坐標為
,測量線為基圓圓心
與測球圓心
的直線,即測量線沿
方向。測量過程中,測量線與法線間的夾角為
,本文將
稱為測量壓力角。
為嚙合相位角,
,擺線齒輪齒數為
,針齒齒數為
,若齒輪為一齒差傳動,則
。計算的理論方程如下[2]:
式中:
為測球中心的極徑、極角值,
為測球對被測點的測量壓力角;
為針齒中心分布圓半徑,
為擺線輪齒數,
為針輪齒數,a為偏心距,
為測球半徑,
為針齒半徑,
為短幅系數,
為嚙合相位角。
3.擺線齒輪誤差項目
本文提出關于擺線齒輪評價的精度體系,包括誤差項目的定義及誤差處理方式:
3.1 截面綜合總偏差
擺線齒輪測量儀通過由極坐標測量結合計算機密集采樣的測量原理,可以快速的得到擺線齒輪整周的徑向誤差曲線,處理得到截面綜合總偏差,截面綜合總偏差表示擺線齒輪整轉的誤差情況,實踐中可以快速判斷擺線齒輪的加工情況,結果如圖5所示。
3.2 齒廓偏差
齒廓誤差是擺線齒輪測量的核心,本文給出兩種形式的表達方式:
第一種是參照圓柱齒輪的概念,從截面綜合總誤差中提取4個單齒進行分析,參照采用圓柱齒輪齒廓的概念,分離出齒廓總誤差、形狀誤差、角度誤差,需要說明的是誤差曲線誤差方向是與設計齒廓的差值,而長度方向是以一齒360度的等嚙合角進行評定,誤差曲線如圖6所示。
第二種是針對典型一個齒進行表達,考慮到擺線齒輪修形的重要性,專門定義了針對擺線修形的誤差分析方案,對任意一個齒,通過將極坐標轉換成直角坐標進行分析,直觀給出理論擺線輪廓,給定修形量(等距、移距、轉角或直接按照坐標點給定的誤差曲線修形表格)后的設計輪廓,以及在設計輪廓為基準的加工誤差曲線,該修形誤差曲線,將理論、設計齒廓、加工誤差等幾個方面的關系清晰表達出來,方便擺線齒輪傳動的分析。測量結果如圖7所示,其中紫色曲線為以擺線齒輪為進行修行的理論曲線,藍色曲線為擺線齒輪修行后的理論曲線,黃色曲線為測量誤差曲線。
以上第一種齒廓表達形式,在誤差曲線長度方向是擺線的等距嚙合角度,反應的是擺線齒輪的嚙合特性,而后一種齒廓表達形式,是轉化成直角坐標,清晰表達理論齒廓,設計齒廓及測量實際誤差曲線的關系,更緊密結合CAD數字化設計制造的評判。
3.3 齒距偏差
本文給出的擺線齒距誤差定義,與圓柱齒輪不同,也不符合早期的擺線齒輪精度標準中擺線齒輪齒距誤差定義。本文將擺線齒輪一個360°嚙合角對應的一個“完整齒”作為一個齒處理,不分左右齒面,主要從以下幾點考慮:
1)擺線齒輪的一個齒嚙合角360度是一個完整平滑的齒,是同一個齒面;
2)從工作原理考慮,整個齒參與嚙合過程,并且研究“修形”也是針對整個齒面進行討論;
3)從加工原理考慮,特別是成形加工的普及,一個齒距角對應加工過程的一個齒分度,圓形砂輪作用到齒的左右面誤差影響一致,即左右齒面修形是對稱的;
4)從測量角度考慮,由于左右齒面齒高中部,與圓柱齒輪相比,齒面在圓周方向的斜率較大,測量誤差大,而把齒分度定義成整個齒的中心位置作為分度考核,可利用整個齒面多點擬合的數學原理,得到很高精度的測量誤差;
齒距誤差處理后結果如圖8所示。
3.4 頂根距偏差與徑向跳動偏差
頂根距偏差和徑向跳動誤差由已經測量出擺線齒輪整周的數據,通過數據處理,可以得到全部頂根距誤差變動曲線和徑向跳動誤差變動曲線,測量偏差結果如圖9、10所示。
4.總結與觀點
本文對擺線齒輪的測量問題進行了討論,由于擺線齒輪相應的精度標準相對落后,市場上也未見針對擺線齒輪測量的專用量儀,其誤差項目的表達也未得到行業統一,很多三坐標、齒輪測量中心都說可以測量擺線齒輪,但擺線齒輪制造真正需要的測量誤差項目,真正對擺線齒輪的精度提升具有實際意義和作用的誤差項目定義等問題,仍是行業需要研究的新課題,本文希望拋磚引玉,真正提高我國在該領域的技術水平,歡迎討論指導。
參考文獻:
[1] 李真,莊葆華,等.擺線齒輪誤差與測量技術[J]. 機械傳動,1997,01.
[2] 郭敬濱,王嫻,周廣才等.擺線齒輪極坐標徑向測量技術的研究[J].工具技術, 2010,(7).
[3] 周軍香,RV減速器擺線輪誤差檢測技術研究[D],河南科技大學,2017.
[4] 張建軍,梁錫昌,行星擺線齒輪的公法線尺寸的確定方法,重慶大學學報,1987,4(2).
